线上娱乐
欢迎访问线上娱乐
|
学校线上娱乐
|
后台登录
十大线上娱乐平台
线上娱乐 概况
线上娱乐 介绍
现任领导
行政人员
师资队伍
所有教师
教授
副教授
讲师
助教
退休教师风采
本科生教育
专业介绍
培养方案
研究生教育
专业介绍
导师介绍
学术科研
科研管理
科研成果
学术活动
党群工作
组织机构
规章制度
组织生活
工会活动
团学工作
学工动态
文档下载
教学科研管理文件
实验室管理文件
学生管理文件
其他管理文件
学生作品
书记院长邮箱
新闻公告
线上娱乐 新闻
线上娱乐 公告
当前位置:
十大线上娱乐平台
>>
线上娱乐 公告
>> 正文
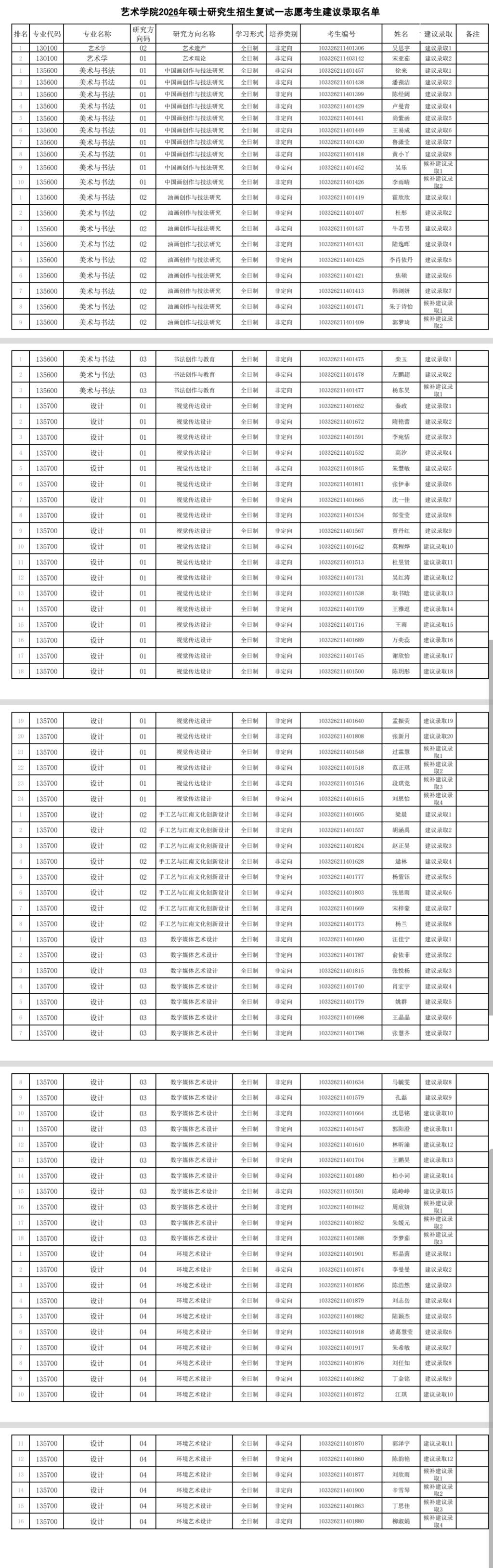
线上娱乐 2026年硕士研究生招生复试一志愿考生建议录取名单
作者: 编辑:严万祺 图片作者: 发表时间:2026-03-30 浏览次数:
下一条:
十大线上娱乐平台 2026年硕士研究生招生复试录取工作实施细则